服务热线
86-21-54488867 / 4008202557
HG/T 3304-2002 稻瘟灵原药
该产品有效成分稻瘟灵的其他名称、结构式和基本物化参数如下:
ISO通用名称:Isoprothiolane
CIPAC数字代号:456
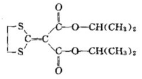
化学名称:1,3-二硫戊环-2-亚基丙二酸二异丙酯
结构式:
实验式:C12H18O4S2
相对分子质量:290.4(按1997年国际相对原子质量计)
生物活性:杀菌
熔点:50°C~54.5°C
沸点:167°C~169°C/66.5Pa
溶解度(g/L,20°C):水中0.048,易溶于苯、醇、丙酮等有机溶剂
稳定性:在正常的贮存条件下及中性和饮酸性介质中稳定;在碱性水介质中缓慢分解
范围
本标准规定了稻瘟灵原药的要求、试验方法以及标志、标签、包装、贮运。
本标准适用于由稻瘟灵及其生产中产生的杂质组成的稻瘟灵原药。
要求
外观:黄色固体,无可见外来杂质。
稻瘟灵原药控制项目指标应符合表1要求。
试验方法
水分的测定
按 GB/T 1600 中卡尔·费休法测定。
GB/T 1600-2021 农药水分测定方法
京都电子KEM 容量法卡尔·费休水分测定仪 MKV-710S