服务热线
86-21-54488867 / 4008202557
T/FSI 077-2022 室温硫化硅橡胶用乙酰乙酸乙酯钛络合物
范围
本文件规定了的技术要求、试验方法、检验规则、标志、包装、运输和贮存。
本文件适用于以钛酸酯、乙酰乙酸乙酯等为原料而制得的室温硫化硅橡胶用乙酰乙酸乙酯钛络合物。
该产品主要用作脱醇型室温硫化硅橡胶的硫化促进剂。
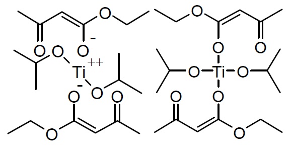
结构式:
分子式:C18H32O8Ti
CAS:27858-32-8
相对分子质量:424.31(按2018年国际相对原子质量)
技术要求
外观要求
在环境温度20~40℃条件下,乙酰乙酸乙酯钛络合物为黄色或棕红色或橙黄色透明液体。
理化指标
理化指标见表1。
试验方法
密度的测定
按 GB/T 4472 中4.3.3密度计法的规定进行测定。
折光率的测定
按 GB/T 6488 的规定进行测定。测定温度为25℃。
GB/T 6488-2022 液体化工产品 折光率的测定
京都电子KEM 数字式密度测定仪 DA-840
京都电子KEM 全自动折光率测定仪 RA-600
